Predicting Recidivism with Street Gang Members
Table of contents
- Acknowledgements
- Executive Summary
- Table of Contents
- List of Tables
- List of Figures
- Introduction
- Defining and Describing Street Gangs
- Method
- Results
- Discussion
- References
- Appendix
- Footnotes
List of Tables
- Table 1. Participants and Offences by Categories and Subcategories (%)
- Table 2. Sentecing and Crime Seriousness
- Table 3. New Arrests by Category of Offence
- Table 4. New Convictions by Category of Offence
- Table 5. Offender Distribution According to LS/CMI Risk Categories
- Table 6. Comparison of Members and Non-members to Subcomponents in Section 1, 2, 4 and 5
- Table 7. Value of the Area Under the ROC Curve (AUC) Coefficients for Sub-sections of the LS/CMI and the Total in Relation to New Arrests
- Table 8. Value of Area under ROC Curve coefficients (AUC) for Sub-sections of the LS/CMI and the Total Related to New Convictions
- Table 9. Cox Proportional Hazard Model for Gang Membership and New Arrest Risk (n=172)
- Table 10. Cox Proportional Hazard Model for Gang Membership and New Conviction Risk (n=172)
List of Figures
2012-02
Jean-Pierre Guay, Ph.D.
School of Criminology, University of Montréal& Institut Philippe-Pinel de Montréal
Public Safety Canada
Acknowledgements
The author wishes to thank Mrs. Élaine Raza, Mr. Jean-François Couture-Poulin and Mrs. Stéphanie Vachon of the Ministère de la Sécurité publique du Québec for their invaluable contributions to this report. He wishes to thank Mrs. Marie-Claude Fortin of the Ministère de la Justice and Mr. Paul Fugère of the Sûreté du Québec for their collaboration in data access and preparation. The author also wishes to express his gratitude to Mr. Ismaïl Khriss of the mathematics, computer science and engineering department of the Université du Québec à Rimouski and Mr. Gino Chénard of the Department of Computer Science at Université du Québec à Montréal for their expertise, which was extremely useful when programming algorithms for FPS files. The author would like to thank Mr. Carlo Morselli and Mrs. Chantal Fredette for their comments that helped improve the manuscript. Finally, he would like to thank Ms. Marlene Blanshay for her editing work.
The views expressed are those of the authors and not necessarily those of the Ministère de la Sécurité publique du Québec or Public Safety Canada. Correspondence concerning this report should be addressed to: Jean-Pierre Guay, Professeur agrégé, École de criminologie, Université de Montréal, C.P. 6128, succursale Centre-ville, Montréal, Québec, Canada, H3C 3J7, Jean-Pierre.Guay@umontreal.ca
Executive summary
In Québec, street gangs are now among the newest threats to public safety (MSPQ, 2007; SPVM, 2005). Major police efforts to dismantle juvenile prostitution networks or reduce drug trafficking have escalated the flow of juvenile offenders into the adult correctional system. Gang members are a growing presence in the penal system and, to a certain degree, risk assessment creates its own problems. The objective of this research is to examine the applicability of the LS/CMI (Andrews, Bonta, & Wormith, 2004) to gang members and to identify specific criminogenic needs profiles compared to non-gang offenders.
A sample of 172 offenders serving sentences of more than six months under provincial jurisdiction was used within this framework. Eighty-six offenders, identified by the Ministère de la Sécurité publique du Québec, were paired by age, status and city of residence with 86 offenders not identified as gang members. All were assessed with the LS/CMI. Data on new arrests and new convictions were used afterward to test the predictive validity of the LS/CMI.
The results indicate that gang members present more diverse criminal histories and greater prevalence of convictions for violent offences. The LS/CMI data analysis showed that gang members present more significant criminogenic risks and needs, and in a greater number of areas than did the control group subjects. These higher needs translated into higher rates of re-arrest and substantially more convictions for violent crimes. The LS/CMI was also useful in predicting recidivism for gang members. Multivariate analyses with the Cox proportional hazard model suggest that, at equal risk, gang offenders are arrested more frequently for both general crimes and violent crimes. Age and equal risk factors also apply to new convictions for violent crimes; gang members are more likely to face new convictions than are non-members. The implications of these results are discussed.
Introduction
Criminal groups, such as street gangs, feature prominently in the media landscape. In large urban centers like Montreal or Toronto, it is rare that a week passes without gangs or gang activity making the headlines. Beare and Ronderos (2001) estimate that, in Canada, there were 27,893 magazine and newspaper articles on organized crime published over a 6-year period. That equals 90 articles a week in daily newspapers and selected magazines.
The nature of the crimes combined with the media coverage contributed, at least partially, to creating a sense of unease. In a poll conducted by Léger Marketing (2004), 64% of respondents in Montreal believe street gangs are major problem in their city; 29% believe that gangs are a major source of insecurity. In 2004, the Service de police de la Ville de Montréal (SPVM) surveyed various neighbourhoods with known gang activity; 36% of those questioned said that street gangs were a problem in their district; 49% were afraid to walk around at night and only 21% described their neighbourhoods as safe.
McCorkle and Miethe (2001) showed that news items related to criminal gangs receive the most sensational treatment by the media, with the focus on the violent acts that these gangs commit. This contributes to a simplistic and narrow perspective on the issue. The image of gangs, as seen in the media, is that of an organized and structured group (Takata & Zevitz, 1990) whose members are very violent. Consequently, this is how the public sees them (Dusonchet, 2002).
The sense of danger, fuelled by media coverage of street gangs, led to public pressure on the police for repressive measures. The nature of crimes, combined with community demands, forced police to organize and mobilize. This was the case in Quebec where, in recent years, the police have developed programmes and initiatives such as anti-gang squads to deal with street gangs and gang violence. The repressive measures showed the community that the police were serious about tackling gang violence measure (Katz & Webb, 2006).
Anti-gang initiatives increased the burden on the courts, as a steady flow of accused offenders made their way through the legal system. Criminal prosecutors and the judicial system designated specific teams to address gang activity, assessing cases potentially related to gangs, developing methods and strategies to handle these cases, gathering relevant information and undertaking legal proceedings.
The increased judicial actions triggered a steady flow of suspected gang offenders though the courts and judicial system. While this was always a concern for Quebec's youth centers (Centres Jeunesse du Québec), it was becoming an issue for adult correctional services. More offenders were entering the adult correctional system in both provincial and federal jurisdictions (Bentenuto, 2008; MSP, 2007). In many cases, it created challenges for risk assessment, security risk or implementation of intervention programs.
Defining and Describing Street Gangs
Describing and defining the street gang phenomenon is complex; definitions and descriptions may refer to young offenders or offenders as old as 40. Studies on the process of affiliation and disaffiliation, on the offenders' experience and their personal characteristics, stem largely from research on teenagers. Works that enumerate criminal gangs often focus on older offenders. Therefore, it is difficult to combine the overall results from both data corpuses. There is a consensus that the lack of a common definition is also a problem (Bjerregaard, 2002; Campbell, 1984; Decker & VanWinkle, 1996; Esbensen, Winfree, He, & Taylor, 2001; Horowitz, 1990; Klein, 1995; Klein & Maxson, 2006; Moore, 1991; Petersen, 2000; Spergel, 1995). Since the first definitions, in particular Thrasher (1927), dozens of other definitions were suggested, discussed and criticized. It is difficult to arrive at a consensual definition of the gang and, by extension, their members and activities; various strategies were also suggested. Self-identification was one way to resolve the issue (Bjerregaard & Smith, 1993; Horowitz, 1983; Taylor, 1990; Thornberry, Krohn, Lizotte, & Chard-Wierschem, 1993).
Since it is difficult to determine exactly what constitutes a gang and who its members are, the offenders themselves could provide information on whether or not they were part of a gang (Fagan, 1989). Although the self-identifying strategy is frequently used, it had its limits, such as the wide variety of opinions regarding membership or belonging (Klein & Maxson, 2006; Spergel & Curry, 1988). Self-identification also does not provide sufficient information on the extent of participation or the type of activities of these criminal gangs (Schram & Girdles, 2005).
Another way to define street gangs would be to hand it over to the experts and practitioners. Miller (1980) conducted a nationwide survey of legal professionals, judges and community members to determine how they would define and characterize street gangs. After compiling more than 1,400 characteristics, Miller retained six, which were unanimous among all the participants and arrived at the following definition:
a self-formed association of peers, bound together by mutual interests, with identifiable leadership, well-developed lines of authority, and other organizational features, who act in concert to achieve a specific purpose or purposes which generally include the conduct of illegal activity and control over a particular territory, facility, or type of enterprise (Miller, 1975: p. 121).
The consensual definition was, however, quite controversial. For some, broad agreement on a phenomenon's definition does not necessarily equal a valid, accurate definition (Klein & Maxson, 1989). Although there are numerous definitions of street gangs, they usually share a high number of common points (Curry & Decker, 2003). They are often self-proclaimed groups, whose members share public interests such as control of a particular territory or location. They usually use a number of signs for recognition and are collectively involved in criminal activities. By 1980, Miller had already removed a number of shared characteristics, adding elements in their place related to structure and authority, especially distinctive leadership. More recently, Klein (2005) raised the possibility of obtaining a certain consensus among researchers with this definition: "A street gang is any durable, street-oriented youth group whose own identity includes involvement in illegal activity." The author underlined five fundamental characteristics: gangs are relatively long-standing; consist mainly of young people who spend a portion of their time on the street, involve illegal acts and are united by a certain collective identity.
In Quebec, the SPVM definitionFootnote 1 is the one most commonly used:
A street gang is a grouping, more or less structured, of teenagers and young adults who use strength and gang intimidation to carry out criminal acts with the goal of obtaining power and recognition or controlling lucrative spheres of activity.
The SPVM's current definition of street gangs is the one used by the Criminal Intelligence Service of Quebec (CISQ) and adopted by different police forces in the province. It is used to identify offenders in Quebec's judicial system.
Describing Offenders Related To Street Gang Activities
Street gangs are generally made up of teenagers and young males. Although many factors relate to street gang membership, they can be grouped into two broad categories: social characteristics and personal characteristics.
Social characteristics: community, family, school and employment
The reading offered by Thrasher (1927) nearly a century ago forms the basis of understanding by practitioners and street gang researchers. The question, raised by the author, of social disorganization and its impact on the development of these groups appears among the most common explanatory themes for the appearance and expansion of North American street gangs. Even now, few reflect on street gangs without mentioning socioeconomic conditions, social inequality, exclusion, marginalization and decline of social controls. Environments marked by low community involvement, immigration and poverty prove to be fertile grounds for street gangs (Bjerregaard & Lizotte, 1995; Curry & Spergel, 1992; Spergel, 1995; Thornberry, Krohn, Lizotte, Smith,& Tobin, 2003).
Since their beginnings in North America, street gangs have been primarily an urban phenomenon. However, they have since moved beyond urban centers to the suburbs (Miller, 2001). In 1999, all American cities with more than 250,000 inhabitants and nearly half the suburbs of large urban centers reported street gang activity (Egley, 2000). This shift is attributed to the migration of families to suburbs (Maxson, 1998), weak employment prospects, possibilities for gangs to expand their criminal networks, including drugs (Howell, 1994), or efforts to avoid police detection.
Although there is evidence that environments characterized by social disorganization are favourable to street gangs, it does not explain why some individuals join these groups and others do not (Bjerregaard & Smith, 1993; Fagan, 1990). The presence of a gang in a disadvantaged neighbourhood does not automatically guarantee that everyone will join.
In general, offenders who join street gangs generally emerge from unstable, broken or divided family environments (Hamel et al. 1998; Hill, Howell, Hawkins, & Battin- Pearson, 1999; Lahey, Gordon, Loeber, Stouthamer-Loeber, & Farrington, 1999; Thornberry et al., 2003). Gang members often describe their family relationships as detached and nearly devoid of parental control or supervision (Gatti, Tremblay, Vitaro, & McDuff, 2005; Hamel et al., 1998; Hill et al., 1999; Leblanc & Lanctôt, 1998; Vigil, 1988). For many of its members, a gang is an adaptive strategy aimed at compensation for family deficiencies (Brisebois, 2007).
The troubled family situations of gang members usually combine with trouble in school and learning disabilities (Craig, Vitaro, Gagnon, & Tremblay, 2002; Esbensen, Huizinga,& Weiher, 1993; Hamel et al., 1998; Le Blanc & Lanctôt, 1998; Thornberry et al., 2003). These offenders often have slow academic progress long before joining gangs (Hill et al., 1999), which later creates difficulties when integrating into the labour market (Hagedorn, 1988; Hamel et al., 1998; Sanchez-Jankowski, 1991).
Disadvantaged socioeconomic status, dysfunctional family environments, academic difficulties and problems integrating into the labour market- all frequently appear in theoretical explanations of psychosocial problems. If social characteristics stimulate the desire to join a gang, they are not the only causes. Personal characteristics may also act as risk factors.
Personal characteristics: needs, personality and attitudes
Offenders who join street gangs are not simply disenfranchised teenagers with limited opportunities. They are offenders for whom gangs offer an environment compatible with their lifestyle and their personality structure. They are frequently recognized as antisocial (Lykken, 1995) and psychopathic personalities (Cleckley, 1976; Hare, 1993). These offenders usually exhibit manipulative, aggressive, impulsive and volatile behaviour, as well as superficial affect, feelings of omnipotence and significant difficulty in managing interpersonal conflicts (Craig et al., 2002; Dupéré, Lacourse, Willms, Vitaro, & Tremblay, 2007; Goldstein, 1991; Guay & Couture-Poulin, 2010; Lacourse, Nagin, Vitaro, Side, Arsenault, & Tremblay, 2006; Lanctôt & Le Blanc, 1996). It is not surprising that offenders linked to gangs frequently displayed early signs of behavioural disorders, antisocial attitudes and violent behaviour (Craig et al., 2002; Esbensen & Huizinga, 1993; Hill et al., 1999; Lahey et al., 1999; Thornberry et al., 2003).
Antisocial components do not simply explain gang membership, they also favour long- term involvement. For most young people, gang membership is temporary (Covey et al., 1992; Spergel, 1995; Thrasher, 1927) but for a small number, it becomes a lifestyle. These characteristics favour the appearance of offender behaviour and may explain why certain individuals become more acclimatized to the violent reality associated with gang subculture (Guay & Fredette, 2010; Guay & Couture-Poulin, 2010; Valdez, Kaplan, & Codina, 2000).
Interface between Gang Membership and Crime
When considering the personal and social profile of street gang members, their criminal output is not surprising. These offenders contend with a significant number of risk factors and criminogenic needs. As with all persistent offenders, their offences are considerable and varied (Battin et al., 1998; Curry, 2000; Decker & Van Winkle, 1996; Esbensen & Huizinga, 1993; Fagan, 1990; Huff, 1996; Klein, 1995; Miller, 1975; Spergel, 1995; Thornberry, 1998; Thornberry et al., 1993). Although some stipulate that street gang membership increases the pace of the individual crime rate, there is no agreement on the temporal sequence of events (Krohn & Thornberry, 2008). Three existing models may help us to understand the influence of these groups on their members' crimes: The selection model, facilitation model and mixed model (Thornberry et al., 1993).
The first model, the Selection Model, suggests that individuals who are most susceptible to joining street gangs are a priori more predisposed to commit crimes. In this sense, gang membership alone does not create criminal behaviours because these groups attract persons already involved in criminal activities. The criminal inclination was evident not only during, but also before and after gang membership.
The second model, the Facilitation Model, is based on the principles of social learning (Akers, 1985). It suggests that gang members, a priori, are no more inclined toward crime than are other delinquents. Instead, it is the gang culture (normative structure) and group dynamics that facilitate crime. In other words, the frequency of criminal behaviour would be lower prior to gang membership and increase considerably during the membership period and return to a lower rate after disaffiliation.
Finally, the mixed model (Enhancement Model) suggests that the relation between individual crimes and gang participation is based on interactive effects of selection and facilitation. Young people who join gangs would exhibit a greater predisposition to crime than are others and their association with these groups would considerably increase this tendency (facilitation). In other words, gang members are already active offenders whose criminal acts increase in frequency after they join a gang.
While the selection model receives little empirical support (Krohn & Thornberry, 2008), many works support the facilitation model (Bjerregaard & Lizotte, 1995; Gatti et al., 2005; Hall, Thornberry, & Lizotte, 2006; Haviland & Nagin, 2005; Lacourse, Nagin, Tremblay, Vitaro, & Claes, 2003; Thornberry et al., 2003; Zhang, Welf, & Wieczoreck, 1999). Some support the mixed model (Bendixen, Endresen, & Olweus, 2006; Esbensen& Huizinga, 1993; Gordon, Lahey, Kawai, Loeber, Stouthamer-Loeber, & Farrington, 2004). Studies that test the three models reveal variations in results that would be a function, among others, of the membership length and age of the participants (Gatti et al., 2005; Gordon et al., 2004; Lacourse et al., 2003). For example, the facilitation model could explain crimes by transitional members (membership of less than two years), while the mixed model could apply more to stable members (membership of more than two years).
The conclusions of these works must be used with caution, as far as longitudinal studies on this issue mostly concern groups of teens aged 14-17. It is difficult to identify who continues in this environment, since long-term gang members are usually over 18. Furthermore, offenders within criminal organizations are more likely than are other offenders to abandon research into their behaviours (Thornberry, Bjerregaard, & Miles, 1993). This attrition forces us to question, by comparison, the underrepresentation of stable gang members in samples to validate the various models.
It is also difficult to distinguish the effects of age from those of membership in street gangs (Krohn & Thornberry, 2008) insofar as crime rates, length of membership and age covariate in a very narrow fashion (Elliot & Menard, 1996; Gatti et al., 2005; Gordon et al., 2004; Lacourse et al., 2003; Warr, 1993). It is reasonable to believe that the effects of selection and facilitation alone cannot explain the influence of gang participation on crime (Gatti et al., 2005; Gordon et al., 2004).
Risk of Recidivism
Gang membership is a strong marker (proxy) for recidivism. Indeed, research shows that offenders associated with street gangs are significantly more inclined to reoffend after release than are paroled offenders not associated with gangs (Huebner, Varano, & Timithy, 2007). As a rough guide, a study by Huebner and colleagues (2007) showed that, on average, 45% of gang members reoffend within 33 months in the community, compared with 28% of non-gang members, who reoffend after 37 months. Consequently, it seems important to properly identify and evaluate offenders associated with street
gangs to prevent recidivism.
Security Risk
Membership in a gang is also an important predictive factor for various violent behaviours against other prisoners and staff in correctional centers and it is independent of other risk factors (age, ethnicity, violence and prison records, sentence length and security level and/or personal characteristics (Griffin & Hepburn, 2006; Gaes et al., 2002). Prisoners associated with street gangs are twice as likely to exhibit violent behaviour as their non-gang counterparts (Griffin & Hepburn, 2006). Camp and Camp (1985), when looking at violent disciplinary offences in 33 American prisons, estimated that offenders associated with street gangs made up 3% of the prison population, but were responsible for more than 50% of violent incidents in correctional institutions. Compared to other prisoners, gang members are more involved in all types of misconducts, rule violations and perpetuation of crimes (Gaes et al., 2002). In addition to being responsible for a higher volume of disciplinary offences, gang offenders make up a higher number of court appearances and transfers between prisons (Guay & Couture-Poulin, 2010). As Guay and Couture-Poulin (2010) point out, this may not be a consequence of their behaviour in prison, but it does indicate the amount of energy expended on this segment of the population.
Overall, studies on convicted criminals show that gang membership is statistically linked to recidivism and to criminal behaviour during incarceration. For Fleisher and Decker (2001), "gang identity is a proxy for a person's social history." Current studies on the link between gang membership and recidivism are effectively preoccupied with the social history of criminal gang members. This question was studied particularly from the perspective of membership compared to various static factors such as race, criminal history, neighbourhood or family history. However, this approach does not reveal if gang offenders face greater criminogenic needs than offenders of the same age or from similar environments. In other words, no study shows the added value of gang membership compared to other criminogenic factors when assessing offenders; nor do they examine the validity of common risk assessment strategies for these offenders.
One objective of this study is to identify specific criminogenic needs profiles of gang members compared to non-gang offenders. The identification of criminogenic needs specific to gang members would facilitate the targeting of appropriate interventions. Another goal of the study is to evaluate the Level of Service/Case Management Inventory (LS/CMI; Andrews, Bonta, & Wormith, 2004) in the prediction of recidivism. The LS/CMI is the standard classification instrument for provincially sentenced offenders and its subcomponents provide a measure of criminogenic needs. Finally, we test the added value of gang member identification in evaluating the risk of recidivism.
Method
Participants
The study participants are 172 male offenders assessed by the Quebec Correctional Services with the LS/CMI between February 2007 and December 2008. The provincial corrections facilities are reserved for offenders serving sentences of less than two years. From this number, 34 or 19.8% were assessed while serving their sentences in the community, while 138 (80.2%) were assessed while still in custody. The average age of the subjects was 25.6 years (S.D = 6.0). Half of the sample offenders were identified by the Ministère de la sécurité publique du Québec (MSPQ) as belonging to a gang. The MSPQ's identification procedure includes police validation. We must emphasize that only offenders serving sentences of more than six months were evaluated with the LS/CMI. This may have the effect of significantly reducing diversity of results, over-representing high-risk and very high-risk offenders.
Matching Procedure
We used three criteria to ensure that there were comparable offenders to match the gang members: age at the time of assessment, status (in custody or in the community) and city of residence. For each offender identified by public security as belonging to a gang, we were able to pair an offender with the same characteristic, who was assessed during the same period. In two cases, we could not find an offender of the same age and status living in the same city. In these two cases, we selected the nearest city.
Measures
The results described in this study stemmed primarily from five data sources: the DACOR system (partially fed by the criminal docket), the court register, the Module d'informations policières (MIP), the FingerPrint System (FPS) and the LS/CMI risk assessment.
The DACOR System
The DACOR system or Dossier Administratif Correctionnel is the computer system in operation since 1987, used by corrections personnel throughout Quebec to manage activities and interventions related to housing offenders. The system gathers information on prisoners and correctional facilities, specifically regarding cell assignments, follow-up of day trips, sentence administration and counting prison population. DACOR also collects information from probation officers and from the community, such as meetings between clients and probation officers and follow-up on interventions. Several persons may provide information to DACOR, but in most cases, correctional service officers supply the information. If certain variables, such as the sex of the offenders, do not create problems with inter-rater reliability, others are sometimes harder to codify without precise protocols. In this respect, only certain descriptive variables were retained.
Level of Service/Case Management Inventory (LS/CMI)
The French version (Guay, 2008) of Level of Service/Case Management Inventory (Andrews et al., 2004) is an integrated risk/needs assessment tool coupled with a client follow-up tool. This tool effectively manages evaluation, planning and intervention follow-up with adult or adolescent clients aged 16 or older. The LS/CMI assesses static and dynamic factors linked to recidivism risk. The LS/CMI contains 43 items, which are divided into eight major categories of criminogenic needs: Criminal History (8 items), Education/Employment (9 items), Family/Marital (4 items), Leisure/Recreation (2 items), Companions (2 items), Alcohol/Drug problem (8 items), Procriminal Attitude/ Orientation (4 items), and Antisocial Pattern (4 items).
The majority of the LS/CMI items are coded "Yes" or "No" (0 = "No", 1 = "Yes"), while certain items are coded on a scale from 0 to 3 (0 and 1=1, 2 and 3=0). The total provides information on the risk posed by the offender and the sub-totals indicate criminogenic needs. All assessors were professionals who completed a four-day training course on the LS/CMI. All successfully passed the theoretical and practical examination prescribed by the publisher. The LS/CMI is coded following clinical interviews and thorough reading of each case.
Translating the LS/CMI
In order to create a French language version of LS/CMI, we opted for back - translation. First, a team of translators translated the Quikscore form and coding manual. Then, another team translated the French version back into English. A team of practitioners, administrators and the authors of the instrument compared both English versions (the original and retranslated version). Any ambiguous elements and problematic items were discussed and corrected. A revision committee comprised of researchers, administrators and SCQ practitioners corrected the preliminary version before it was revised by a scientific editor.
Arrest Data from the Module d'informations policières (MIP)
The Module d'informations policières (MIP) contains a concise and computerized version of all offences and police interventions in the province of Quebec. These reports are included in a central file and codified according to the Uniform Crime Reporting Survey. This databank employs the standards developed by the Canadian Centre for Justice Statistics, which favours uniform data collection through the various Canadian police services. This bank was used to search all offenders' crimes throughout Quebec, between February 2007 and November 2009. Specific information was extracted for each event, including details of the event, persons involved and observations (linked to files). The offenders were paired by FPS number, name and date of birth. Within the framework of this report, only the information related to the offence is presented.
Official Adult Criminal History Data from the Fingerprint system (FPS)
The offenders' names, dates of birth and FPS numbers were forwarded to the Canadian Criminal Record Information Services (CCRIS) of the Royal Canadian Mounted Police (RCMP) to obtain their official criminal records. The "Criminal Convictions, Conditional and Absolute Discharges and Related Information" form (also called "Certified Criminal Record", "police record" or "CIPC register") was retrieved and sent to the Direction de la recherche des Services correctionnels du Québec of the Ministère de la Sécurité Publique and forwarded to the researcher. A criminal record, or FPS, was obtained for 137 of 172 delinquents, meaning that 79.7% had a police record. The 9815 pages (in .txt format) were formatted through an algorithm specifically developed for this purposeFootnote 2.
The files were reorganized into four tables linked by a single identifier. Two of these were of greater interest within the framework: a table of personal information and a table of offences and sentences. Each offence was coded by categories from the new Statistics Canada Crime Severity Index (CSI) (2009).
Official Recidivism Data of the Court Register
The data on new convictions for offenders were extracted from those of the court register of the Justice Minister. Each new conviction was classified according to the relevant information.
Results
Analysis of Criminal Histories
Table 1 below indicates the prevalence of criminal histories for both groups of offenders, as well as the Phi coefficient, the effect size coefficient derived from the Chi square.
| Non-gang | Gang | Phi | |
|---|---|---|---|
| Crimes against persons | 53.5 | 72.1 | .19* |
| Other violations causing death | 2.3 | 1.2 | -.04 |
| Sexual assault | 7.0 | 11.6 | .08 |
| Assault | 43.0 | 68.6 | .26** |
| Violation resulting in the privation of freedom | 39.5 | 60.5 | .21** |
| Property crime violations | 62.8 | 68.6 | .06 |
| Arson | 1.2 | 2.3 | .04 |
| Breaking and entering | 27.9 | 39.5 | .12 |
| Theft over 5000$ | 15.1 | 18.6 | .05 |
| Theft under 5000$ | 48.8 | 53.5 | .05 |
| Fraud | 14.0 | 15.1 | .02 |
| Mischief | 33.7 | 30.2 | -.04 |
| Other Criminal Code violations | 66.3 | 82.6 | .19* |
| Prostitution | 1.2 | 8.1 | .17* |
| Offensive weapons | 22.1 | 34.9 | .14 |
| Other offences (Part A) | 55.8 | 80.2 | .26** |
| Offences against public order (Part B) | 26.7 | 25.6 | -.01 |
| Fraud | 36.0 | 51.2 | .15* |
| Controlled Drugs and Substances Act | 36.0 | 47.7 | .12 |
| Possession | 16.3 | 29.1 | .15* |
| Trafficking | 25.6 | 36.0 | .11 |
| Importing and exporting | 1.2 | 0.0 | -.08 |
| Production | 0 | 0 | .00 |
| Other Federal Statute | 0 | 0 | .00 |
| Traffic related offences | 14.0 | 12.8 | -.02 |
*p <.05 **p <.01 ***p<.001
The analysis of the results indicate that in total, the criminal histories of gang offenders contained more crimes against persons (phi = .19, p < .05) than other offences against the Criminal Code; they related especially to prostitution (phi = .17, p < .05). They also tend to include more offences from Part A of the Criminal Code (phi = .26, p < .01), histories of fraud (phi = .17, p < .05 and drug possession (phi = .15, p < .05).
The tradition of criminal career fits within a longitudinal reading of offender behaviour. We generally model the criminal career by a set of parameters, the principals being participation, frequency, duration, initiation, persistence and desistance (Blumstein & Cohen, 1987; Farrington, 2007; Piquero, Farrington, & Blumstein, 2003). The frequency parameter estimates the number of offences committed by active offenders.
Generally measured by lambda (λ), it is the number of crimes committed during a given time period (usually one year; Blumstein & Cohen, 1987; Piquero et al., 2003). Variety is the overall combination of various types of offences committed by the same offender; it is an important parameter for understanding the criminal career. Seriousness is also included in criminal career parameters. Historically, researchers studied the notion of seriousness through data collected from public surveys. Participants were shown short stories (one paragraph) describing crimes and asked to rate them in terms of seriousness (Ackman, Normandeau, & Turner, 1967; Rossi & Anderson, 1982; Sellin & Wolfgang,
1964; Wolfgang, Figlio, Tracy, & Ape, 1985). Even though there were several advantages to this method, it only provided a perspective on relative seriousness. Statistics Canada recently set up a protocol for measuring seriousness of crimes based on Canadian court decisions. This measures the seriousness of offences based on sentences handed down by the courts, and is not simply based on a hypothetical scenario or label. This protocol opens a new means of studying seriousness. Table 2 below presents statistics comparing gang members and non-gang members based on the parameters of criminal career.
| Non-gang | Gang | t | |
|---|---|---|---|
| Age at the time of first adult sentence (years) | 19.0 | 18.2 | 1.20 |
| Number of previous sentences | 8.0 | 10.6 | 1.84 |
| Average number of offences per sentence | 2.2 | 2.1 | .43 |
| Average seriousness of offences per sentence | 161.2 | 151.1 | .28 |
| Lambda of crimes against persons | 1.75 | .79 | 1.23 |
| Lambda of property crimes | 1.92 | .62 | 1.71 |
| Variety (average number of crime categories) | 5.5 | 6.7 | 2.4* |
*p < .05 **p < .01 ***p< .001
Overall, the results do not reveal significant differences between both groups of offenders in terms of age at the first adult conviction, previous number of sentences, average number of crimes per judgment, average seriousness of crimes, any more than they provide the differences in annual average number of offences (lambda). However, the results indicate that gang members present more polymorphic offence patterns, with a significantly higher average number of offence categories per sentence (t = 2.4, p < .05)
Data Analysis of New Arrests and New Convictions
The next section presents the descriptive results of offenders who were subject to new arrests and new convictions during the follow-up period. The mean follow-up period was 1024 days. All offenders were followed up for at least one year. Table 3 compares gang members and non-gang offenders for new arrests by type of offence.
| Non-gang | Gang | Phi | |
|---|---|---|---|
| Crimes against persons | 18 (20.9%) | 38 (44.2%) | .25** |
| Property crimes | 23 (26.7%) | 25 (29.1%) | .03 |
| Other Criminal Code violations. | 26 (30.2%) | 49 (57.0%) | .27*** |
| Controlled Drugs and Substances Act | 11 (12.8%) | 21 (24.4%) | .15* |
| Violation of federal statutes | 0 (0.0%) | 0 (0.0%) | .00 |
| Offences related to traffic | 7 (8.1%) | 5 (5.8%) | -.04 |
| All offences | 45 (52.3%) | 69 (80.2%) | .30*** |
*p <.05 **p <.01 ***p<.001
As the results in Table 3 indicate, gang members were subject to arrest significantly more often than the control group. In fact, they stand out in crimes against persons (44.2% vs. 20.9%; phi = .25, p < .01), other Criminal Code violations (57.0% vs. 30.2%; phi = .27, p < .001) and arrests through the Controlled Drugs and Substances Act (24.4% vs. 12.8%; phi = .15, p < .001).
| Non-gang | Gang | Phi | |
|---|---|---|---|
| Crimes against persons | 3 (3.5%) | 13 (15.1%) | .20** |
| Property crimes | 10 (11.6%) | 8 (9.3%) | -.03 |
| Other Criminal Code violations. | 5 (5.8%) | 8 (9.3%) | .07 |
| Controlled Drugs and Substances Act | 4 (4.7%) | 3 (3.5%) | -.03 |
| Violation of federal statutes | 2 (2.3%) | 3 (3.5%) | .04 |
| Offences related to traffic | 2 (2.3%) | 1 (1.2%) | -.04 |
| All offences | 16 (18.6%) | 18 (20.9%) | .03 |
*p < .05 **p < .01 ***p< .001
The analysis of new convictions provides another piece of the picture (see Table 4). Gang members differ only in crimes against persons, receiving significantly more convictions than the control group offenders (15.1% vs. 3.5%; phi = .20, p < .01).
Risk Analysis with LS/CMI
The following section presents the results of the risk assessment using LS/CMI, as well as their link to new arrests and new convictions. Table 5 below compares distribution of gang members and non-members for each risk category.
| Very low | Low | Medium | High | Very high | |
|---|---|---|---|---|---|
| Non Gang | 3 (3.5%) | 10 (11.6%) | 19 (22.1%) | 28 (32.6%) | 26 (30.2%) |
| Gang | 1 (1.2%) | 4 (4.7%) | 8 (9.3%) | 43 (50.0%) | 30 (34.9%) |
The comparative analysis of risk levels indicates that overall, gang members present a significantly higher level of risk (Cramer V =.26, p < .05) than offenders in the control group. Table 6 details the average scores in the 8 subcomponents of LS/CMI along with the mean scores for the other LS/CMI sections.
| Non-gang | Gang | t | Cohen's D | |
|---|---|---|---|---|
| Criminal History | 5.20 | 6.08 | 2.56* | .39 |
| Education/ Employment | 5.63 | 6.81 | 2.96** | .45 |
| Family/Marital | 1.47 | 1.53 | .36 | .05 |
| Leisure/Recreation | 1.62 | 1.78 | 1.87 | .29 |
| Companions | 2.45 | 3.10 | 3.87*** | .59 |
| Alcohol/Drug Problem | 2.83 | 2.53 | .79 | .12 |
| Procriminal Attitude/Orientation | 1.43 | 2.02 | 2.87** | .44 |
| Antisocial Pattern | 1.91 | 2.42 | 3.06** | .39 |
| Section 1 total | 22.52 | 26.29 | 2.80** | .43 |
| Strengths | .02 | .00 | 1.42 | .22 |
| Section 2 total (Specific Risk/Need Factors) | 7.14 | 10.43 | 4.01*** | .61 |
| Section 2.1 total (Personal Problems) | 5.44 | 7.74 | 3.59*** | .55 |
| Section 2.2 total (History of Perpetration) | 1.70 | 2.69 | 4.27*** | .65 |
| Section 4 total (Other Client Issues) | 2.20 | 1.86 | 1.19 | .18 |
| Section 5 total (Special Responsivity) | 1.20 | 1.58 | 2.48* | .37 |
*p < .05 **p < .01 ***p< .001
The results of Table 6 show that gang members score significantly higher on Criminal History, Education/Employment, Companions, Procriminal attitude/orientation and Antisocial Pattern subcomponents. Gang members also scored significantly higher on Section 1 overall. The Effect Size, measured by Cohen's D, indicates that the greatest differences between the two groups were in Education/Employment (d = .45), Procriminal Attitude/Orientation (d = .44) and Companions (d = .59). Both groups were also compared with the totals of Sections 2, 4 and 5, with sizeable differences for Section 2 and Section 5. Gang members were identified as having problems with Racist/Sexist behaviour, Socializing with Peers outside of their age group, Inappropriate sexual activity, Poor social skills, Intimidating/controlling behaviours and Weapon use. Detailed comparisons appear in the Appendix. For Section 4 (Other Client Issues), the total score did not differ between both groups. However, gang members differed from non-gang members by exhibiting fewer depressive behaviours or low self-esteem, but more parenting issues. Finally, in Section 5, Special Responsivity Considerations, gang members showed higher than average scores compared to non-members, mainly due to higher prevalence of ethnicity issues. Detailed comparisons are in the Appendix.
Figure 1. Comparison of Recidivism Rates According to Risk of Members and Non-members

The above line graph compares the recidivism rates for gang and non-gang members over five risk levels.
The Y axis represents the recidivism percentage and increases from 0% for very low risk offenders to 40% for very high risk offenders who are gang members.
On the X axis, from left to right are the five risk levels of very low, low, medium, high and very high.
Results:
The top line represents non-members with a recidivism rate of 0% for the very low risk. The recidivism rate remains 0% for low risk and then increases to 15.5% for medium risk before leveling off at 25% for the high risk and 23.1% for the very high risk.
The bottom line represents gang members. The recidivism rates are 0% for the very low and low risk before rising to 12.5% for the medium risk and 11.6% high risk before jumping to 40.0% for the very high risk."
Figure 1 shows recidivism rates for members and non-members for each risk category. Overall, both groups displayed comparable trends. In cases of very low and low risk, none of the offenders had re-offended at the end of the follow-up period. For gang members, the new conviction rate reached 40% for the high-risk category.
In order to determine the effectiveness of the LS/CMI in predicting recidivism for gang members, we conducted a series of ROC curve analyses. The ROC curve is a statistical technique that estimates the efficiency at predicting the occurrence of an event. It has several advantages over other techniques, such as the biserial correlation. It is not influenced by lower base rates (recidivism is, overall, relatively rare and certain statistics lose efficiency when the event predicted is rare), which is generally the case when trying to predict recidivism (Barbaree, Langton, & Peacock, 2006; Harris, Rice, Quinsey Lalumière, Boe, & Lang, 2003). Furthermore, it is considered the method of choice for estimating the accuracy of a prediction or a diagnosis in forensic psychology or in psychiatry (Mossman, 1994; Rice & Harris, 2005; Swets, Dawes, & Monahan, 2000). The ROC curve analysis generates an area under the curve (AUC) coefficient, which quantifies the quality of the prediction. A coefficient AUC of 0.50 shows an equivalent prediction at random, while an AUC of 1.0 amounts to a perfect prediction- in other words, all recidivists were identified correctly, in the same way as the non-recidivists. The results of the ROC curve analysis for new arrests and new convictions are illustrated in Tables 7 and 8, respectively.
| New arrests |
New arrests for violent crime | |||||
|---|---|---|---|---|---|---|
| Non-gang | Gang | Entire sample | Non-gang | Gang | Entire sample | |
| Criminal History | .648* | .652 | .666*** | .496 | .575 | .562 |
| Education/ Employment | .640* | .583 | .650** | .574 | .585 | .608* |
| Family/Marital | .632* | .659* | .632** | .540 | .570 | .558 |
| Leisure/Recreation | .634* | .614 | .635** | .535 | .540 | .553 |
| Companions | .704*** | .666* | .721*** | .583 | .563 | .605* |
| Alcohol/Drug Problem | .645* | .760*** | .661*** | .572 | .566 | .557 |
| Procriminal Attitude/Orientation | .592 | .600 | .623** | .423 | .553 | .526 |
| Antisocial Pattern | .698** | .628 | .697*** | .524 | .570 | .574 |
| Section 1 Total | .706** | .733** | .728*** | .561 | .611 | .607* |
| Risk Level | .692** | .743** | .722*** | .554 | .609 | .603* |
| Strengths | .522 | .500 | .509 | .520 | .500 | .505 |
| Section 2 (Specific Risk/Need) | .646* | .574 | .659*** | .583 | .609 | .633** |
| Section 2.1 (Personal Problems) | .656* | .554 | .655*** | .583 | .573 | .612* |
| Section 2.2 (History Perpetration) | .568 | .589 | .621* | .530 | .596 | .607* |
| Section 4 (Other Client Issues) | .564 | .617 | .567 | .544 | .586 | .551 |
| Section 5 (Special Responsivity) | .576 | .552 | .597* | .453 | .567 | .545 |
*p < .05 **p < .01 ***p< .001
The results of table 7 above indicate that the total of Section 1 of LS/CMI can predict new arrests both for members (AUC .733, p < .001) and for non-members (AUC .706, p < .01). The quality of the prediction is lower when predicting new arrests for violent crimes, as shown by a lower AUC coefficient. For gang members, Alcohol/drug problems are the subcomponent most strongly linked to new arrests; for non-members, it is Companions. The prediction of new convictions was relatively similar to those found for new arrests (Table 8).
| New conviction | New conviction for a violent crime | |||||
|---|---|---|---|---|---|---|
| Non-gang | Gang | Entire sample | Non-gang | Gang | Entire sample | |
| Criminal History | .679* | .529 | .611* | .496 | .531 | .564 |
| Education/ Employment | .621 | .658* | .645** | .618 | .658 | .682* |
| Family/Marital | .584 | .620 | .602 | .466 | .556 | .539 |
| Leisure/Recreation | .621 | .543 | .583 | .663 | .516 | .570 |
| Companions | .608 | .588 | .604 | .886* | .553 | .669* |
| Alcohol/Drug Problem | .700* | .725** | .713*** | .502 | .742 | .682* |
| Procriminal Attitude/Orientation | .648 | .523 | .578 | .657 | .497 | .555 |
| Antisocial Pattern | .620 | .619 | .613* | .697 | .556 | .619 |
| Section 1 Total | .680* | .717** | .688*** | .612 | .687* | .681* |
| Risk Level | .625 | .712** | .662** | .550 | .703* | .680* |
| Strengths | .486 | .500 | .493 | .488 | .500 | .494 |
| Section 2 (Specific Risk/Need) | .612 | .546 | .593 | .849* | .542 | .662* |
| Section 2.1 (Personal Problems) | .618 | .604 | .622* | .853* | .625 | .709** |
| Section 2.2 (History Perpetration) | .575 | .514 | .549 | .749 | .471 | .588 |
| Section 4 (Other Client Issues) | .590 | .678* | .633* | .568 | .620 | .593 |
| Section 5 (Special Responsivity) | .647 | .522 | .571 | .556 | .472 | .508 |
*p <.05 **p <.01 ***p<.001
We then used survival analysis to study the length of interval before the new offence. Survival analysis (Kleinbaum, 1996; Lee, 1992) is a family of techniques for modeling event data (Kaplan & Meier, 1958). Unlike other statistical techniques, survival analysis is able to model censored data, which refers to survival data missing for certain subjects, either because they did not re-offend or because the follow-up period was too short. In their case, the survival duration is consequently unknown. We wanted to know if survival curves differed with gang membership; or, in other words, if the interval before repeat offence was the same for members and non-members and if both groups had identical cumulative curves. Within the current research, we compared recidivism rates using Kaplan-Meier nonparametric estimates of the survival functions (Kaplan & Meier, 1958). Tests for differences between survival functions are reported as χ2 values based on the Log Rank, or Mantel-Cox (Mantel, 1966) statistic. Kaplan-Meier survival functions for arrests and arrests for a violent crime are displayed in Figure 2.
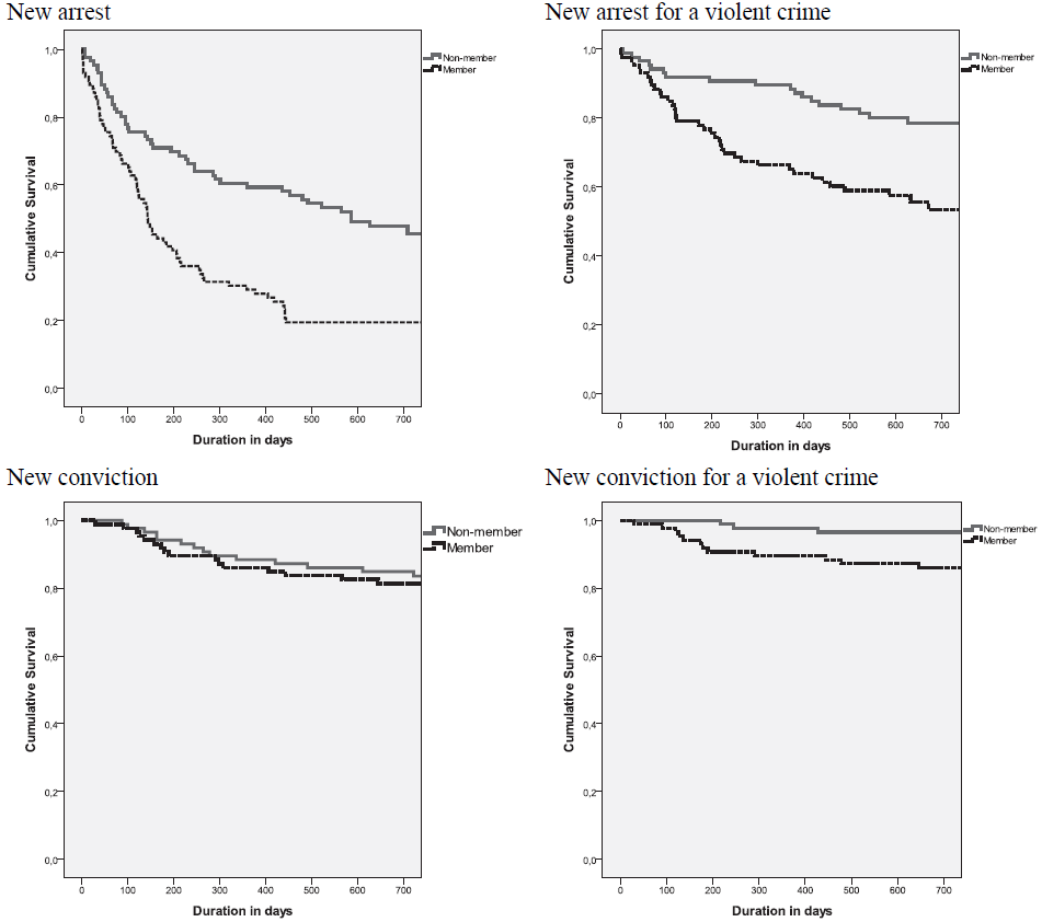
Figure 2. Comparison of Survival Curves for Members and Non-Members for New Arrests and New Convictions

The figure above contains four separate graphical charts. Each chart plots different measures of recidivism as a function of the number of days at risk.
The Y axis is the cumulative survival rate ranging from 0 to 1.0. On the X axis is the number of days ranging from 0 to 700.
Results:
The top left chart plots new arrests as a function of the number of days at risk. The top line represents non-gang members and there is a downward slope that levels off at approximately 650 days with half of the non-members re-arrested. The bottom line represents gang members and there is a steeper downward slope that levels off at approximately 450 days with 80% of gang members re-arrested.
The top right chart plots new arrests for violent crime as a function of the number of days at risk. The top line represents non-gang members and there is a downward slope that levels off at approximately 600 days with 20% of the non-members re-arrested for a violent crime. The bottom line represents gang members and there is a steeper downward slope that levels off at approximately 650 days with approximately 45% of gang members re-arrested for a violent crime.
The bottom left chart plots new convictions as a function of the number of days at risk. The top line represents non-gang members and there is a small downward slope that levels off at approximately 450 days with 15% of the non-members re-convicted. The bottom line represents gang members and there is an almost parallel and small downward slope that levels off at approximately 450 days with 20% of gang members re-convicted.
The bottom right chart plots new convictions for violent crime as a function of the number of days at risk. The top line represents non-gang members and there is a slight downward slope that quickly levels off at approximately 400 days with 5% of the non-members re-convicted for a violent crime. The bottom line represents gang members and there is a small downward slope that levels off at approximately 400 days with 10% of gang members re-convicted for a violent crime."
The mean number of days before any new arrest for was 174.8 (median = 122.5) and 236.4 (median= 195.5) for a new arrest for violent crime while the mean number of days before any new convicted crime was 349.1 (median = 271) and 302.5 (median = 202.5) for a new conviction for violent crime. Significant differences were found between gang member and non-gang member groups regarding re-arrest χ2 (1, n = 172) = 19.1, p < .001, and re-arrest for violent offences χ2 (1, n = 172) = 11.8, p < .001.
The Cox proportional hazard model was used to further analyze differences in recidivism risks for gang and non-gang members with constant age and risk level. Table 9 shows that gang membership is a significant predictor of recidivism (B = .83, p < .001), even when risk level and age were entered in model 2 (B = .79, p < .001).
The results were similar regarding new arrests for violent offences. In other words, gang members were arrested more for violent offences than were offenders in the control group (B = .90, p < .01).
| New arrest | New arrest for a violent offence | |||||||||
|---|---|---|---|---|---|---|---|---|---|---|
| Model 1 | Model 2 | Model 1 | Model 2 | |||||||
| B | Exp(B) | B | Exp(B) | B | Exp(B) | B | Exp(B) | |||
| Gang (0-1) | .83 (.19) | 2.28*** | .79 (.20) | 2.21*** | .95 (.29) | 2.59** | .90 (.29) | 2.46** | ||
| Age at evaluation | -.02 (.02) | .98 | -.06 (.03) | .94* | ||||||
| Risk level (1-5) | .568 | 1.77*** | .29 (.16) | 1.34† | ||||||
| -2 log likelihood | 1050.760 | 1019.127 | 540.416 | 529.895 | ||||||
| χ2 | 19.061*** | 45.029*** | 11.820*** | 20.957** | ||||||
†p< .10 *p < .05 **p < .01 ***p< .001
The results regarding the Cox proportional hazard model for new convictions indicate the absence of predictive effect for new convictions overall (B = .001, p > .05) but a significant predictive effect for new convictions for violent offences (B = 1.31, p < .05).
| New conviction | New conviction for a violent offence | |||||||
|---|---|---|---|---|---|---|---|---|
| Model 1 | Model 2 | Model 1 | Model 2 | |||||
| B | Exp(B) | B | Exp(B) | B | Exp(B) | B | Exp(B) | |
| Gang (0-1) | -.17 (.34) | .85 | -.001 (.35) | .99 | 1.45 (.65) | 4.26* | 1.31 (.64) | 3.69* |
| Age at evaluation | -.03 (.03) | .98 | -.06 (.05) | .95 | ||||
| Risk level (1-5) | .70 (2.38) | 2.02*** | .86 | 2.36* | ||||
| -2 log likelihood | 330.897 | 318.569 | 146.740 | 139.520 | ||||
| χ2 | .232 | 10.694* | 5.974* | 11.529** | ||||
*p < .05 **p < .01 ***p< .001
Overall data analysis for recidivism using Cox proportional hazard model shows that at equal risk, gang members are more likely to be re-arrested for general and for violent offences. Moreover, at equal risk, the gang members are considerably more likely to be convicted for violent offences than for general offences.
Discussion
The two objectives of this study was to identify specific criminogenic needs profiles of gang members compared to non-gang offenders and to the ability of the LS/CMI to predict recidivism with street gang members. The data revealed noticeable differences between gang members and their non-gang counterparts. In the gang members' criminal histories, crimes against persons figured most prominently. As seen in Huff (1998), gang members are more likely than other offenders from similar environments to commit crimes such as prostitution and drug-related offences and they showed histories of other criminal code infractions. Such results concur with previous observations: that gang members commit more crimes (Thornberry et al., 2003; Gordon et al., 2004) and are responsible for more violent crimes (Battin-Pearson, Thornberry, Hawkins, & Krohn, 1998; Fagan, 1989; Huff, 1998; Klein, 1995; Spergel & Curry, 1993; Taylor, 1990; Vigil, 1988), with criminal careers distinguished by polymorphic and violent crime. When gang members are followed up after release, the inclination toward violent offences surfaced in new arrests and convictions.
As measured by the LS/CMI, gang members present a problematic level of risk. Aside from Family/Marital and Alcohol/Drug Problems, gang members scored significantly higher on all subcomponents. Gang members scored higher in sections 2 (Specific Risk/Need Risk/Needs Factors) and 5 (Special Responsivity Considerations) of the assessment tool. Gang members thus have greater needs in terms of intervention. Cognitive-behavioural programs that follow the risk need, and responsivity (RNR) principles are necessary for risk reduction (Andrews & Bonta, 2010). In this respect, application of the RNR principles when applied to gang members may reduce recidivism by up to 20 % as well as reducing the seriousness of the second offence and the incidence of major institutional misconduct (Di Placido, Simon, Witte, Gu, & Wong, 2006).
On the other hand, the present study concluded that the LS/CMI is useful in predicting recidivism for gang members, as measured by new arrests or new convictions. The LS/CMI was able to predict new arrests and convictions for new offences and predict new convictions for violent offences. The survival curve analysis indicated that gang members are arrested more quickly than are non-gang members for both general and for violent offences and that they are convicted more rapidly for violent offences. Multivariate analyses with the Cox proportional hazard model suggests that, at equal risk, gang offenders are not only arrested more frequently for general crimes but also for violent crimes. The same applies to new convictions for violent crimes; with equal age and risk factors, gang members are more likely to face new convictions than are non- members.
Study Limitations
The current research has a number of limitations. The first is the composition of the sample, influenced by two distinct potential selection biases: one related to sampling and the other to the judicial process. The sampling bias refers to selecting a sample of offenders at a higher risk (i.e., those serving a sentence of more than 6 months) and most likely to reoffend, which is not representative of all offenders in the Quebec correctional system. This selection effect may also influence the coefficients. With selection effect, it is particularly difficult to observe strong relations between variables. If all offenders are higher risk, lack of variance makes it difficult to observe a statistical relationship between risk and recidivism. We faced this difficulty. Nevertheless, the quality of the prediction was highly comparable to observations in jurisdictions with a greater result variance.
A second selection effect can be traced to sentencing patterns. The data analysis suggests a very young clientele. Older offenders with richer criminal histories were rejected from the sample. In Canada, offenders with broader criminal histories usually serve federal sentences. Active and persistent offenders in the current sample are those who maintain lower seriousness levels and thus avoid federal sentences. This type of filtering would encourage detailed reading of results regarding generalizability.
Future Directions
Gang Membership as Specific Risk Factor
The results of this study indicate that, at equal risk and even when imperfectly measured, gang membership creates a unique variance. In other words, by knowing membership we can, to a certain degree, explain crime beyond the generic risk factors measured with the LS/CMI. Currently there are few works capable of explaining this added value. Recently, Guay and his colleagues (Guay & Fredette, 2010; Guay & Gaumont-Casias, 2009) provided a multidimensional model of gang membership. In this model, the authors suggest replacing the dichotomous membership measure with a measure based on four axes. This would pass beyond a simple yes/no member identification to a targeted study of criminalized groups with specific parameters. These 4 axes would provide a better understanding of the effects of gang membership on crime. The model includes two axes that measure generic components (Criminal histories and psychopathic tendencies) and two specific axes (adherence to the culture and values of criminal group; location within criminal networks). A more detailed study of these two families of specific factors may provide a better understanding of crimes committed by criminal gang members and ultimately, may identify specific criminogenic needs of offenders involved in criminal networks.
Adherence to group values and standards
Supporting gang culture and values are dimensions most often cited when defining a gang and determining an offender's membership (Klein, 2005; Bray & Egley, 1999, Esbensen & Huizinga, 1993; Rosenfeld & Spergel, 1990). In literature describing the cultural appearance of gang values, the main indicators are existence of a specific group name, nicknames given to members, clothing and other attributes related to gangster culture, wearing specific colours, tattoos, specific graffiti and displaying status and prestige by conspicuous ownership of luxury items and jewellery.
There are also specific values underlying the gang culture. For some (Totten, 2000; Dorais, 2006; Fleury, 2008), it is essentially a subculture of domination with institutionalized or legitimized violence. Violence is the standard for initiation rituals and is part of an honour code, where aggression is the acceptable response to anyone questioning the image or status of a member or the gang's reputation. Violent behaviours are part of a reward and punishment system, which ensures that members who respect the gang's standards are admired and respected by other members. Those who do not comply become objects of derision and are eventually expelled from the group. For gang members, being virile or masculine, or what they perceive as the masculine ideal, means respect through fear and intimidation, demonstrating insensitivity, using physical violence at will and without restraint, as well as dominating women and being sexually active with several sexual partners. Efforts to better study adherence to group standards and values may provide better understanding of the effect of gangs on crime and provide more accurate recidivism predictions for gang members.
Position within group structure and criminal network
One of the most important criminal vectors for gang offenders is their immediate environment and the influence of the gang's structural qualities on their behaviour. Studies on the link between gang membership and offender behaviour offer two general proposals, which may direct our understanding of offender susceptibility to recidivism. The first concerns the facilitating factor of joining a gang (Thornberry, Krohn, Lizotte, Smith, & Tobin 2003; Fagan, 1989). Joining a street gang provides its members with more opportunities to commit crimes and more means of seizing those opportunities.
The second proposal concerns the group structure of gangs. We may believe the facilitator effect is the result of inclusion in a particularly coherent and organized criminal infrastructure. However, studies on the functioning of gangs suggest otherwise (Morselli, 2009). These studies posit that gangs are not structured, effectively ordered groups; they are informal and malleable structures, with various offenders and participants revolving around them and participating to varying degrees in various criminal activities (Klein & Maxson, 2006; McGloin, 2005; Decker, Bynum, & Weisel, 1998). Although some were able to observe structured criminal organizations (for example, see Venkatesh & Levitt, 2000 or Levitt & Venkatesh 2000), the actions of gang offenders generally transpire in groups or individually. A gang may have a large membership, but not all of its members interact cohesively within structured criminal activities (Spergel, 1995; Sanders, 1994; Virgil, 1988; Short & Strodtbeck, 1965; Thrasher, 1927). Although it may seem counterintuitive, gangs form small cohesive groups without actual leaders and organized with flexible and changeable configurations (Klein & Maxson, 2006; Weisel, 2002; Klein, 1971; Klein & Crawford, 1967). A more nuanced study on gang structure would focus particular attention on this diversity and remain within various parameters generally used to study these criminal groups (Morselli, 2009). These dimensions, from the perspective of social networks, should permit an examination of the gang's structural properties and their effect on the crime in an empirical frame and then, to predict and explain recidivism.
References
Akers, R. L. (1985). Social learning theory and adolescent cigarette smoking. Social Problems, 32, 455-73.
Akman, D. D., Normandeau, A., & Turner, S. (1967). The measurement of delinquency in Canada. The Journal of Criminal Law, Criminology and Police Science, 58, 330-337.
Andrews, D. A., & Bonta, J. (2010). The psychology of criminal conduct (5th ed.). Cincinnati, OH: Anderson.
Andrews, D. A., Bonta, J., & Wormith, J. S. (2004). Level of service/Case management inventory: LS/CMI Manual. Toronto: MultiHealth Systems.
Barbaree, H. E., Langton, C. M., & Peacock, E. J. (2006). The factor structure of static actuarial items: Its relation to prediction. Sexual Abuse: A Journal of Research and Treatment, 18, 207-226.
Battin-Pearson, S. R. , Thornberry, T. P. , Hawkins, J. D., & Krohn, M. D. (1998). Gang membership, delinquent peers, and delinquent behavior. Juvenile Justice Bulletin. Washington, D.C.: US Department of Justice
Beare, M., & Ronderos, J. (2001). Exploratory review of media coverage on organized crime in Canada: 1995-2000. Ottawa: Department of Justice.
Bendixen, M., Endresen, I. M. & Olweus, D. (2006). Joining and leaving gangs: Selection and facilitation effect on self-reported antisocial behaviour in early adolescence, European Journal of Criminology, 3, 85-114.
Bentenuto, L. (2008). Les gangs de rue : perspective du régime correctionnel fédéral. Gazette, 70, 20-21.
Bjerregaard, B. & Lizotte, A. J. (1995). Gun ownership and gang membership. Journal of Criminal Law & Criminology, 86, 37-58
Bjerregaard, B. & Smith, C. A. (1993). Gender differences in gang participation, delinquency, and substance use, Journal of Quantitative Criminology, 9, 329-355.
Bjerregaard, B. (2002). Self-definitions of gang membership and involvement in delinquent activities, Youth and Society, 34, 31-54.
Blumstein, A. & Cohen, J. (1987). Characterizing criminal careers. Science, 985-991.
Brisebois, R-A. (2007). Parcours de parents immigrants dont le fils a fait l'expérience d'un gang de rue et d'une institutionnalisation : un vécu familial bouleversé. Mémoire de maîtrise. Montréal: Université de Montréal, École de criminologie.
Camp, G. M., & Camp, C. G. (1985). Prison gangs: Their extent, nature, and impact on prisons. Washington, DC: U.S. Department of Justice.
Campbell, A. (1984). The girls in the gang: A Report from New York City. New York: Basil Blackwell.
Cleckley (1976). The mask of sanity. St. Louis, MI: Mosby.
Covey, H. C., Menard, S. W. & Franzese, R. J. (1992). Juvenile gangs. Springfield: Charles C. Thomas.
Craig, W. M., Vitaro, F., Gagnon, C. & Tremblay, R. E. (2002). The road to gang membership: Characteristics of male gang and nongang members from ages 10 to 14. Social Development, 11, 3-68.
Curry, G. D. & Decker, S. H. (2003). Confronting gangs: Crime and community (2th Ed.). Los Angeles: Roxbury.
Curry, G. D. & Spergel, I. A. (1992). Gang involvement and delinquency among Hispanic and African adolescent males. Journal of Research in Crime and Delinquency, 29, 273-291.
Curry, G. D. (2000). Self-reported gang Involvement and officially recorded delinquency. Criminology, 38, 1253-1274.
Decker, S. H., Bynum, T. S., & Weisel, D. L. (1998). A tale of two cities: Gangs as organized crime groups. Justice Quarterly, 15, 395-425.
Decker, S. H. & Van Winkle, B. (1996). Life in the gang: Family, friends and violence. Cambridge: Cambridge University Press.
Di Placido, C., Simon, T. I., Witte, T. D., Gu, D., & Wong, S. C. P. (2006). Treatment of gang members can reduce recidivism and institutional misconduct. Law and Human Behavior, 30, 93-114.
Dorais, M., avec la collaboration de Corriveau, P. (2006). Jeunes filles sous influence: prostitution juvénile et gangs de rue. Montréal: VLB Éditeur.
Dupéré, V., Lacourse, É., Willms, D, J., Vitaro, F., & Tremblay, E. R. (2007). Affiliation to youth gangs during adolescence: The interaction between childhood psychopathic tendencies and neighborhood disadvantages. Journal of Abnormal Child Psychology, 35, 1035-1045.
Dusonchet, A. (2002). Images et mirages de la réalité des gangs de jeunes dans la presse francophone montréalaise. Mémoire de maîtrise. École de criminologie, Université de Montréal.
Egley, A., Jr. (2000). Highlights of the 1999 National Youth Gang Survey. Fact Sheet no. 20. Washington: Department of Justice, Office of Justice Programs, Office of Juvenile Justice and Delinquency Prevention.
Elliot, D. S. & Menard, S. (1996). Delinquent friends and delinquent behavior. In J. D. Hawkins, (Ed.), Delinquency and crime: Current theories. Cambridge: Cambridge University Press.
Esbensen, F. A. & Huizinga, D. (1993). Gangs, drugs, and delinquency in a survey of urban youth. Criminology, 31, 565-590.
Esbensen, F. A., Huizinga, D. & Weiher, A. W. (1993). Gang and non-gang youth: Difference in explanatory factors. Journal of Contemporary Criminal Justice, 9, 94-116.
Esbensen, F. A., Winfree, L. T., He, N. & Taylor, T. J. (2001). Youth gangs and definitional issues: When is a gang a gang, and why does it matter? Crime and Delinquency, 47, 105-130.
Fagan, J. E. (1989). The social organization of drug use and drug dealing among urban gangs. Criminology, 27, 633–669.
Fagan, J.E. (1990). Social processes of delinquency and drug use among urban gangs. In C. R. Huff (Ed), Gangs in America. Newbury Park: Sage Publications.
Farrington, D. P. (2007). Advancing knowledge about desistance. Journal of Contemporary Criminal Justice, 23, 125-134.
Fleisher, M. S. & Decker, S. (2001). An overview of the challenge of prison gangs. Corrections Management Quarterly, 5, 1-9.
Fleury, E. (2008). Exploration des perceptions et de l'expérience des jeunes hommes associés aux gangs quant aux rapports de genre et à la sexualité. Mémoire de maîtrise. Département de sexologie, Université du Québec à Montréal.
Gaes, G. G., Wallace, S., Gilman, E., Klein-Saffran, J., & Suppa, S. (2002). The influence of prison gang affiliation on violence and other prison misconduct. The Prison Journal, 82, 359-385.
Gatti, U., Tremblay, R. E., Vitaro, V. & McDuff, P. (2005). Youth gangs, delinquency and drug use: A test of the selection, facilitation, and enhancement hypotheses. Journal of Child Psychology and Psychiatry, 46, 1178-1190.
Goldstein, A. P. (1991). Delinquent gangs: A psychological perspective. Chicago, IL: McNaughton and Gunn.
Gordon, R. A., Lahey, B. B., Kawai, E., Loeber, R., Stouthamer-Loeber, M., & Farrington, D. (2004). Antisocial behavior and youth gang membership: Selection and socialization. Criminology, 42, 55-87.
Griffin, M. L. & Hepburn, J. R. (2006). The effect of gang affiliation on violent misconduct among inmates during the early years of confinement. Criminal Justice and Behavior, 33, 419-448.
Guay, J. P. & Couture-Poulin, J-F. (2011). Profil des contrevenants associés aux gangs de rue. Québec: Gouvernement du Québec, Ministère de la Sécurité publique, Direction de la recherche.
Guay, J.P. & Fredette, C. (2010). Le phénomène des gangs de rue et la mesure, dans, Le Blanc, M. & Cusson, M. (Eds), Traité de criminologie empirique. Montréal: Les Presses de l'Université de Montréal.
Guay, J. P. & Gaumont-Casias, J. (2009). Sur la mesure du phénomène des gangs de rue au Québec: vers le développement d'un cadre de mesure. Québec: Gouvernement du Québec, Ministère de la Sécurité publique, Direction de la recherche.
Hagedorn, J. M. (1988). People and folks: Gangs, crime and the underclass in a rustbelt city. Chicago, IL: Lake View Press.
Hall, G. P., Thornberry, T. P., & Lizotte, A. J. (2006). The gang facilitation effect and neighborhood risk: Do gangs have a stronger influence on delinquency in disadvantaged areas? In J. F. Short & L. A. Hugues (Eds.), Studying youth gangs. New York, NY: AltaMira Press.
Hamel, S., Fredette, C., Blais, M.-F., & Bertot, J., en collaboration avec Cousineau, M-M. (1998). Jeunesse et gangs de rue, phase II: résultats de la recherche-terrain et proposition d'un plan stratégique quinquennal. Montréal: Institut de recherche pour le développement social des jeunes.
Hare, R. D. (1993). Without conscience: The disturbing world of the psychopaths among us. New York, NY: Simon and Schuster.
Harris, G. T., Rice, M. E., Quinsey, V. L., Lalumière, M. L., Boer, D., & Lang, C. (2003). A multisite compraison of actuarial rish assesssment for sex offenders. Psychological Assessment, 15, 413-425.
Haviland, A. M. & Nagin, D. S. (2005). Causal inference with group based trajectory models. Psychometrika, 70, 1-22.
Hill, K. G., Howell, J. C., Hawkins, J. D., & Battin-Pearson, S. R. (1999). Childhood risk factors for adolescent gang membership: Results from the Seattle Social Development Project. Journal of Research in Crime and Delinquency, 36, 300-322.
Horowitz, R. (1983). Honor and the American dream: Culture and identity in a Chicago community. New Brunswick, NJ: Rutgers University Press.
Horowitz, R. (1990). Sociological perspectives on gangs: Conflicting definitions and concepts. In C. R. Huff (Ed.), Gangs in America. Newbury Park, CA: Sage Publications.
Howell, J. C. (1994). Recent gang research: Program and policy implications. Crime and Delinquency, 40, 495-515.
Huebner, B. M. (2003). Administrative determinates of inmate violence. Journal of Criminal Justice, 31, 107-117.
Huebner, B. M., Varano, P. S., & Timithy, S. B. (2007). Gangs, Guns, and Drugs: Recidivism amoung Serious, Young Offenders. Criminology and public policy, 6, 187-222.
Huff, C. R. (1996). The criminal behavior of gang members and nongang at-risk youth. In C. R. Huff (Ed.), Gangs in America (2th Ed.). Thousand Oaks, CA: Sage Publications.
Huff, C. R. (1998). Comparing the criminal behavior of youth gangs and at-risk youths, National Institute of Justice: Research in Brief. OJJDP, U.S. Department of Justice.
Kaplan, E. L. & Meier, P. (1958). Nonparametric estimation from incomplete observations. Journal of the American Statistical Association, 53, 457-48.
Katz, C. M. & Webb, V.J. (2006). Policing gangs in America. Cambridge, England: Cambridge University Press.
Klein, M. W. (1971). Street gangs and street workers. Englewood Cliffs, NJ: Prentice Hall.
Klein, M. W. (1995). The American street gang: Its nature, prevalence, and control. Oxford, England: Oxford University Press.
Klein, M. W. (2005). The value of comparisons in street gang research. Journal of Contemporary Criminal Justice, 21, 237-254.
Klein, M. W. & Crawford, L. Y. (1967). Groups, gangs, and cohesiveness. Journal of Research in Crime and Delinquency, 4, 63-75.
Klein, M. W. & Maxson, C. L. (1989). Street gang violence. In N. Weiner & M. Wolfgang (Eds.), Violent crime, violent criminals. Newbury Park, CA: Sage Publications.
Klein, M. W. & Maxson, C. L (2006). Street gangs: Patterns and policies. New York, NY: Oxford University Press.
Kleinbaum, D. G. (1996). Survival analysis: A self-learning text. New York, NY: Springer.
Krohn, M. D. & Thornberry, T. P. (2008). Longitudinal perspectives on adolescent street gangs. In A. M. Liberman (Ed), The long view of crime: A synthesis of longitudinal research. New York, NY: Springer Sciences and Business Media.
Lacourse, E., Nagin, D., Tremblay, R. E., Vitaro, F., & Claes, M. (2003). Developmental trajectories of boys' delinquent group membership and facilitation of violent behaviours during adolescence. Development and Psychopathology, 15, 183-197.
Lacourse, É., Nagin, D., Vitaro, F., Côté, S., Arsenault, L., & Tremblay, R.E. (2006). Prediction of early-onset deviant peer group affiliation: A 12-Year longitudinal study. Archives of General Psychiatry, 63, 562-568.
Lahey, B. B., Gordon, R. A., Loeber, R., Stouthamer-Loeber, M., & Farrington, D. P. (1999). Boys who join gangs: A prospective study of predictors of first gang entry. Journal of Abnormal Child Psychology, 27, 261-276.
Lanctôt, N. & Le Blanc, M. (1996). Filles et garçons membres de bandes marginales, les adolescents en difficulté des années 1990. Montréal: Groupe de recherche sur les adolescents en difficulté.
Le Blanc, M. & Lanctôt, N. (1998). Social and psychological characteristic of gang members according to the gang structure and its subcultural and ethnic making. Journal of Gang Research, 5, 15-28.
Lee, E. T. (1992). Statistical Methods for Survival Data Analysis. New York, NY:Wiley.
Léger Marketing. (2004). Étude sur le sentiment de sécurité des Montréalais, Montréal, Québec.
Levitt, S. & Venkatesh, S. A. (2000). An economic analysis of a drug-selling gang's finances. Quarterly Journal of Economics, 13, 755-789.
Lykken, D. T. (1995). The antisocial personalities. Hillsdale, NJ: Lawrence Erlbaum.
Mantel, N. (1966). Evaluation of survival data and two new rank order statistics arising in its consideration. Cancer Chemotherapy Reports, 50, 163–70.
Maxson, C. L. (1998). Gang members on the move. Washington: Department of Justice, Office of Justice Programs, Office of Juvenile Justice and Delinquency Prevention.
McCorkle, R. C., & Miethe, T. D. (2001). Panic: The social construction of the street gang problem. Upper Saddle.
Miller, J. (2001). One of the guys: girls, gangs, and gender. New York, NY: Oxford University Press.
Miller, W. B. (1975). Violence by youth gangs and youths groups as a crime problem in major American cities. Washington: Department of Justice, Office of Justice Programs, Office of Juvenile Justice and Delinquency Prevention.
Miller, W. B. (1980). Gangs, groups, and serious youth crime. In D. Schichor & D. Kelly (Eds.), Critical issues in juvenile delinquency. Lexington, VA: Lexington.
Ministère de la Sécurité publique. (2007). Plan d'intervention québécois sur les gangs de rue 2007-2010. Québec, Canada: Gouvernement du Québec.
Moore, J. W. (1991). Going down to the barrio: Homeboys and homegirls in change. Philadelphia, PA: Temple University Press.
Morselli, C. (2009). Inside criminal networks. New York, NY: Springer Science and Business Media.
Mossman, D. (1994). Assessing predictions of violence: Being accurate about accuracy. Journal of Consulting and Clinical Psychology, 62, 783-792.
Petersen, R. (2000). Definitions of a gang and impacts on public policy. Journal of Criminal Justice, 28, 139-149.
Piquero, A. R., Farrington, D. P., & Blumstein, A. (2003). The criminal career paradigm. In M. Tonry (Ed.), Crime and Justice: A Review of Research, Vol. 30. Chicago, IL: University of Chicago Press.
Rice, M. E., & Harris, G. T. (2005). Comparing effect sizes in follow-up studies: ROC area, Cohen's d, and r. Law and Human Behavior, 29, 615-620.
River, N. J. & McGloin, J. M. (2005). Police and intervention considerations of a network analysis of street gangs. Criminology, 46, 155-188.
Rosenfeld, R., Bray, T., & Egley, A. (1999). Facilitating violence: A comparison of gang-motivated, gang-affiliated, and nongang youth homicides. Journal of Quantitative Criminology, 15, 495-516.
Rossi, P., & Anderson, A. (1982). The factorial survey approach: An introduction. In P. Rossi & S. Nock (Eds.), Measuring social judgments: The factorial survey approach. Beverly Hills, CA: Sage.
Sanchez-Jankowski, M. (1991) Islands in the street: Gangs and American urban society. Berkeley, CA: University of California Press.
Sanders, W. B. (1994). Gangbangs and drive-bys: Grounded culture and juvenile gang violence. New York, NY: Aldine De Gruyter.
Schram, P. J., Gaines, L. K. (2005). Examining delinquent nongang members and delinquent gang members. Youth Violence and Juvenile Justice, 3, 99-115.
Sellin, T., & Wolfgang, M. (1964). The measurement of delinquency. New York, NY: Wiley.
Service de Police de la Ville de Montréal. (2004). Plan d'action corporatif 2005 du SPVM, www.spvm.qc.ca
Short, J. F. & Strodtbeck, F.L. (1965). Group process and gang delinquency. Chicago, IL: University of Chicago Press.
Spergel I. A. (1995). The youth gang problem: A community approach. New York, NY: Oxford University Press.
Spergel, I. A. (2009). Gang databases: To be or not to be. Criminology and Public Policy, 8, 667-674.
Spergel, I. A. & Curry, G. D. (1993). The national youth gang survey: A research and development process. In A. P. Goldstein & C.R. Huff (Eds.), The Gang Intervention Handbook, Champaign Research Press.
Spergel, I. A. & Curry, G.D. (1988). Survey of youth gang problems and programs in 45 cities and 6 sites. Chicago, IL: University of Chicago Press.
Statistique Canada (2009). La mesure de la criminalité au Canada : présentation de l'Indice de gravité de la criminalité et des améliorations au Programme de déclaration uniforme de la criminalité, Ottawa.
Swets, J. A., Dawes, R. M., & Monahan, J. (2000). Psychological science can improve diagnostic decisions. Psychological Sciences in the Public Interest (a supplement to Psychological Science), 1, 177-178.
Takata, S. R. & Zevitz, R. G. (1990). Divergent perceptions of group delinquency in a Midwest community: Racine's gang problem. Youth and Society, 3, 74-92.
Taylor, C. (1990). Dangerous society. East Lansing, MI: Michigan State University Press.
Thornberry, T. P. (1998). Membership in youth gangs and involvement in serious and violent offending. In R. Loeber & D. P. Farrington (Eds.), Serious and violent offenders: Risk factors and successful interventions. Thousand Oaks, CA: Sage Publications.
Thornberry, T. P., Bjerregaard, B., & Miles, W. (1993). The consequences of respondent attrition in panel studies: A simulation based on the Rochester Youth Development Study. Journal of Quantitative Criminology, 9, 127-158.
Thornberry, T. P., Krohn, D. M., Lizotte, J. A., & Chard-Wierschem, D. (1993). The role of juvenile gangs in facilitating delinquent behaviour. Journal of Research in Crime and Delinquency, 30, 55-87.
Thornberry, T. P., Krohn, M. D., Lizotte, A. J., Smith, C. A., & Tobin, K. (2003). Gangs and delinquency in developmental perspective. New York, NY: Cambridge University Press.
Thrasher, F. M. (1927). The gang: A study of 1,313 gangs in Chicago. Chicago, IL: University of Chicago Press.
Totten, M. D. (2000). Guys, gangs and girlfriend abuse. Toronto, Ontario: Broadview Press.
Valdez, A., Kaplan, C. D., & Codina, E. (2000). Psychopathy among Mexican American gang members: A comparative study. International Journal of Offenders Therapy and Comparative Criminology, 44, 46-58.
Venkatesh, S. A. & Levitt, S. D. (2000). Are we a family or a business? History and disjuncture in the urban American street gang. Theory and Society, 29, 427-462.
Vigil, J. D. (1988). Barrio gangs: Street life and identity in southern California. Austin, TX: University of Texas Press.
Warr, M. (1993). Age, peers, and delinquency. Criminology, 31, 17-40.
Wiesel, D. L. (2002). Contemporary gangs: An organizational analysis. New York, NY: LFB Scholarly Publishing.
Wolfgang, M. E., Figlio, R. M., Tracy, P. E., & Singer, S. I. (1985). The national survey of crime severity. Washington, DC: U.S. Government Printing Office.
Zhang, L., Welte, J. W., & Wieczoreck, W. F. (1999). Youth gangs, drug use, and delinquency. Journal of Criminal Justice, 27, 101-109.
Appendix
| Non gang | Gang | ||||
|---|---|---|---|---|---|
| n | % | n | % | Phi | |
| Clear problems of compliance | 43 | (50.6%) | 54 | (64.3%) | .14 |
| Diagnosis of “psychopathy” | 0 | (0.0%) | 0 | (0.0%) | .00 |
| Diagnosis of other personality disorder | 41 | (48.2%) | 62 | (72.1%) | .24** |
| Threat from third party | 43 | (50.6%) | 62 | (72.1%) | .22** |
| Problem-solving/self-management skill deficits | 54 | (62.8%) | 68 | (79.1%) | .18* |
| Anger management deficits | 46 | (53.5%) | 65 | (75.6%) | .23** |
| Intimidating/controlling | 45 | (53.6%) | 66 | (77.6%) | .25*** |
| Inappropriate sexual activity | 40 | (47.1%) | 63 | (73.3%) | .27*** |
| Poor social skills | 42 | (48.8%) | 63 | (73.3%) | .25*** |
| Peers outside of age range | 39 | (45.9%) | 62 | (72.1%) | .27*** |
| Racist/sexist behavior | 39 | (45.9%) | 64 | (74.4%) | .29*** |
| Underachievement | 12 | (14.0%) | 17 | (20.2%) | .08 |
| Outstanding charges | 18 | (20.9%) | 17 | (20.2%) | -.01 |
| Other Specify | 6 | (7.0%) | 3 | (3.6%) | -.08 |
| Sexual, extrafamilial, child/adolescent-male victim | 0 | (0.0%) | 0 | (0.0%) | .00 |
| Sexual, extrafamilial, child/adolescent-female victim | 2 | (2.3%) | 4 | (4.7%) | .06 |
| Sexual, extrafamilial, adult-male victim | 0 | (0.0%) | 0 | (0.0%) | .00 |
| Sexual, extrafamilial, adult-fem. Victim | 2 | (2.3%) | 1 | (1.2%) | -.04 |
| Sexual, intrafamilial, child/adolescent—male victim | 0 | (0.0%) | 0 | (0.0%) | .00 |
| Sexual, intrafamilial, child/adolescent—fem. Victim | 0 | (0.0%) | 1 | (1.2%) | .08 |
| Sexual, intrafamilial, adult—spouse/partner victim | 0 | (0.0%) | 0 | (0.0%) | .00 |
| Physical, extrafamilial-adult victim | 33 | (38.8%) | 52 | (60.5%) | .22** |
| Physical, intrafamilial-child/adolescent victim | 1 | (1.2%) | 2 | (2.3%) | .04 |
| Physical, intrafamilail-adult partner victim | 7 | (8.1%) | 20 | (23.5%) | .21** |
| Assault on an authority figure | 17 | (19.8%) | 19 | (22.1%) | .04 |
| Stalking/harassment | 3 | (3.5%) | 9 | (10.5%) | .14 |
| Weapon use | 30 | (34.9%) | 53 | (63.1%) | .28*** |
| Fire setting | 5 | (5.8%) | 4 | (4.7%) | -.02 |
| Impaired driving | 9 | (10.5%) | 5 | (5.8%) | -.09 |
| Shoplifting | 26 | (30.2%) | 24 | (28.6%) | -.02 |
| White collar crime | 4 | (4.7%) | 3 | (3.5%) | -.03 |
| Gang participation | 5 | (5.8%) | 31 | (37.3%) | .39*** |
| Organized crime | 2 | (2.3%) | 3 | (3.5%) | .04 |
| Hate crime | 0 | (0.0%) | 0 | (0.0%) | .00 |
| Terrorist activity | 0 | (0.0%) | 0 | (0.0%) | .00 |
*p <.05 **p <.01 ***p<.001
| Non gang | Gang | ||||
|---|---|---|---|---|---|
| n | % | n | % | Phi | |
| Financial problems | 35 | (40.7%) | 32 | (37.2%) | -.04 |
| Homeless or transient | 9 | (10.5%) | 5 | (5.8%) | -.09 |
| Accommodation problems | 10 | (11.6%) | 10 | (11.6%) | .00 |
| Immigration issues | 1 | (1.2%) | 3 | (3.5%) | .08 |
| Parenting concerns | 4 | (4.7%) | 13 | (15.1%) | .18* |
| Health problems (HIV, AIDS, etc) | 5 | (6.0%) | 2 | (2.3%) | -.09 |
| Physical disability | 1 | (1.2%) | 0 | (0.0%) | -.08 |
| Learning disability | 9 | (10.6%) | 5 | (5.8%) | -.09 |
| Fetal Alcohol Spectrum Disorder (FASD) | 1 | (1.2%) | 0 | (0.0%) | -.08 |
| Depressed | 8 | (9.4%) | 0 | (0.0%) | -.22** |
| Suicide attempts/threat | 6 | (7.1%) | 3 | (3.6%) | -.08 |
| Low self-esteem | 18 | (20.9%) | 8 | (9.4%) | -.16* |
| Shy/withdrawn | 5 | (5.8%) | 1 | (1.2%) | -.13 |
| Diagnosis of serious mental disorder | 0 | (0.0%) | 0 | (0.0%) | .00 |
| Other evidence of emotional distress | 2 | (2.4%) | 8 | (9.3%) | .15 |
| Victim of family violence | 23 | (27.7%) | 27 | (31.4%) | .04 |
| Victim of physical assault | 18 | (21.4%) | 20 | (23.5%) | .03 |
| Victim of sexual assault | 10 | (11.9%) | 6 | (7.1%) | -.08 |
| Victim of emotional abuse | 9 | (10.6%) | 7 | (8.2%) | -.04 |
| Victim of neglect | 7 | (8.3%) | 6 | (7.1%) | -.02 |
| Other | 8 | (9.3%) | 4 | (4.7%) | -.09 |
*p <.05 **p <.01 ***p<.001
| Non gang | Gang | ||||
|---|---|---|---|---|---|
| n | % | n | % | Phi | |
| Motivation as a barrier | 35 | (41.2%) | 47 | (54.7%) | .14 |
| Engages in denial/minimization | 52 | (61.2%) | 62 | (72.1%) | .12 |
| Interpersonally anxious | 3 | (3.5%) | 2 | (2.3%) | -.04 |
| Woman, gender-specific issues | 0 | (0.0%) | 0 | (0.0%) | .00 |
| Cultural issues | 1 | (1.2%) | 5 | (5.8%) | .13 |
| Ethnicity issues | 3 | (3.5%) | 10 | (11.6%) | .15* |
| Low intelligence | 0 | (0.0%) | 0 | (0.0%) | .00 |
| Communication barriers | 2 | (2.4%) | 1 | (1.2%) | -.05 |
| Mental disorder | 1 | (1.2%) | 0 | (0.0%) | -.08 |
| Antisocial personality/psychopathy | 3 | (3.6%) | 2 | (2.4%) | -.03 |
| Other | 3 | (3.5%) | 7 | (8.1%) | .10 |
*p <.05 **p <.01 ***p<.001
Footnotes
- 1
The city of Montréal, with 1,854,442 inhabitants, is the largest urban agglomeration in Québec and the one most affected by criminal gangs. There are 4,407 police officers.
- 2
The algorithm was developed in collaboration with Mr. Ismaïl Khriss, from the Department of mathematics, computing and engineering) of the Université du Québec à Rimouski, and Mr. Gino Chénard of the Department of computing at Université du Québec à Montréal.
- Date modified:
